Glukozamino Pogranda Provizanto - Ĉinia Fabrikisto Pogranda
Mallonga enkonduko
Glukozamino, la hidroksila grupo de glukozo anstataŭigita per amino-grupo, estas amino-monosakarido ĉeestanta en la korpo, kiu estas necesa por la sintezo de proteoglikanoj en la kartilaga matrico de homaj artikoj. Glukozamino antaŭenigas kartilagan sintezon, inhibicias la disfalon de artika kartilago, kaj ankaŭ havas kontraŭinflamatoriajn efikojn. Ĝi povas mildigi dolorajn simptomojn en ostoj kaj artikoj, plibonigi artikan komforton kaj flekseblecon. Ĝi ludas gravan rolon en la konservado kaj plibonigo de osta sano. Ni provizas altkvalitan glukozaminon en amasa pulvora formo, ideala por suplemento-fabrikistoj.
Glukozaminaj suplementoj sur la merkato estas ĉefe en la formo de glukozamina sulfato, glukozamina hidroklorido kaj N-acetilglukozamino.
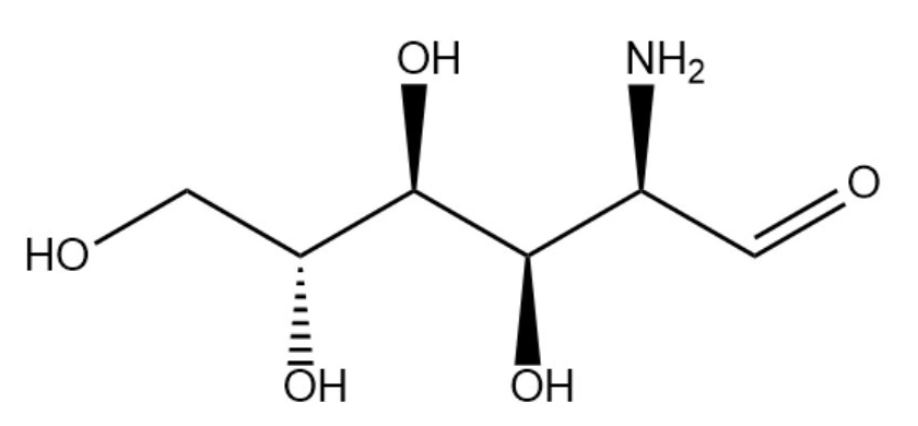
Nomo:Glukozamino (GlcN)
molekula formulo :C₆H₁₃NO₅
molekula pezo:179.2
CAS No:3416-24-8
Strukturo:

N-acetil-D-(+)-glukozamino (GlcNAc)
Molekula Formulo: C₈H₁₅NO₆
Molekula pezo: 221.21
CAS No: 7512-17-6
Strukturo:

Apliko
Plibonigas ostosanon
Glukozamino estas grava nutraĵo por la formado de homaj kondrocitoj kaj estas la baza substanco por la sintezo de glukoglikanoj. Havi optimumajn nivelojn de glukozamino povas helpi subteni sanan ostodensecon. La glukozamina manko en la homa korpo fariĝas pli kaj pli severa kun la aĝo, kaj la artika kartilago daŭre degeneras kaj eluziĝas. Multaj medicinaj studoj montris, ke glukozamino povas helpi ripari kaj konservi kartilagon kaj stimuli la kreskon de kondrocitoj. Ĉi tiu riparo estas aparte grava por homoj kun osteoartrito, kies artika kartilago ofte estas difektita. Glukozamino antaŭenigas la riparon kaj rekonstruon de kartilaga matrico per antaŭenigado de la metabolan agadon de kondrocitoj, plibonigante la riparkapablon de kondrocitoj. Samtempe, ĝi ankaŭ havas kontraŭinflaman efikon kaj povas redukti artikan malkomforton ĉe pacientoj kun osteoartrito.
imuneco
Glukozamino partoprenas en la metabolo de sukero en la korpo, kaj partoprenas en la protekta efiko de la korpo per kombiniĝo kun aliaj substancoj kiel galaktozo, glukurona acido kaj aliaj substancoj por formi gravajn produktojn kun biologia aktiveco kiel hialurona acido kaj keratino sulfata acido.
Antioksidanto, kontraŭaĝiga
Glukozamino povas pliigi la aktivecon de la ĉefaj antioksidaj enzimoj en la hepato de eksperimentaj musoj, kaj havas certan antioksidan kapablon. Ĝi helpas protekti la korpon kaj ĉelojn kontraŭ oksidativa streso kaj liberaj radikaluloj. Ĝi estas uzata en la fabrikado de haŭtflegadaj kaj ŝminkaj produktoj.
Mekanismo de Ago
Glukozamino estas grava komponanto necesa por la sintezo de proteoglikanoj en kartilaga matrico. Ĝi sintezas UDP-GlcNAc in vivo, kiu siavice sintezas kitinon, peptidoglikanon, kaj glikozaminoglikanon, kaj proteoglikanojn. UDP-GlcNAc ludas gravan rolon en proteina stabileco, ĉela struktura integreco, kaj imunoreguligo. UDP-GlcNAc povas esti produktita per la savitaj nutraĵoj glukozamino (GlcN) kaj N-acetilglukozamino (GlcNAc).
Proteoglikanoj povas inhibicii la streĉan forton de kolagenaj fibroj por ke la artika kartilago havu la funkcion absorbi frapforton. En la pli postaj stadioj de artika degenera malsano, glukozaminoglikana sintezo signife reduktiĝas. Rezulte, la elasteco de la kartilago malpliiĝas kaj la simptomoj de artrito iom post iom aperas. Aminomonosakaridoj povas stimuli kondrocitojn por produkti glikoproteinojn kun normala multimera strukturo, inhibicii iujn enzimojn, kiuj povas damaĝi artikan kartilagon (kiel ekzemple kolagenazo), malhelpi kortikosteroidojn kaj iujn nesteroidajn kontraŭinflamatoriajn drogojn damaĝi kondrocitojn kaj redukti la liberigon de endotoksinaj faktoroj el difektitaj ĉeloj. Ĉe la evoluo de artrito, suplementado per eksogena glukozamino povas ludi utilan rolon. Glukozamino havas antioksidan efikon kaj inhibicias la produktadon de superoksidaj liberaj radikaluloj, kiuj damaĝas ĉelojn. La kontraŭinflama efiko de glukozamino mildigas la dolorajn simptomojn de osteoartrito, plibonigas artikan funkcion kaj povas haltigi la evoluon de osteoartrito.

Referencoj
Rabade A, Viswanatha GL, Nandakumar K, Kishore A. Takso de efikeco kaj sekureco de glukozamina sulfato, kondroitina sulfato, kaj ilia kombinita reĝimo en la traktado de genua osteoartrito: sistema revizio kaj metaanalizo. Inflammopharmacology. 2024 Jun;32(3):1759-1775.
Hermann W, Lambova S, Muller-Ladner U. Aktualaj Kuracaj Ebloj por Osteoartrito. Curr Rheumatol Rev. 2018;14(2):108-116.
Vo NX, Le NNH, Chu TDP, Pham HL, Dinh KXA, Che UTT, Ngo TTT, Bui TT. Efikeco kaj Sekureco de Glukozamino en Osteoartrito: Sistema Revizio. Apoteko (Bazel). 2023 Jul 14;11(4):117.
Ogata T, Ideno Y, Akai M, Seichi A, Hagino H, Iwaya T, Doi T, Yamada K, Chen AZ, Li Y, Hayashi K. Efikoj de glukozamino ĉe pacientoj kun genuosteoartrito: sistema revizio kaj metaanalizo. Clin Rheumatol. 2018 Sep;37(9):2479-2487.
Quik M, Hokke CH, Everts B. La rolo de O-GlcNAciligo en imuneco kontraŭ infektoj. Imunologio. 2020 Nov;161(3):175-185.
Paneque A, Fortus H, Zheng J, Werlen G, Jacinto E. La Heksozamina Biosinteza Vojo: Reguligo kaj Funkcio. Genes (Bazel). 2023 Apr 18;14(4):933.
Wysoczynski M, Stephan J, Uchida S. Glukozamino reguligas makrofagan funkcion en korinsuficienco. Clin Transl Med. 2022 Apr;12(4):e819.
Bissett DL. Glukozamino: ingredienco kun haŭtaj kaj aliaj avantaĝoj. J Cosmet Dermatol. 2006 Dec;5(4):309-15.
Dahmer S, Schiller RM. Glukozamino. Am Fam Physician. 2008 Aŭg 15;78(4):471-6.
Henrotin Y, Marty M, Mobasheri A. Kio estas la nuna stato de kondroitina sulfato kaj glukozamino por la traktado de genua osteoartrito? Maturitas. 2014 Jul;78(3):184-7.
Nagaoka I, Tsuruta A, Yoshimura M. Kondroprotekta agado de glukozamino, kitosana monomero, sur la artika sano de atletoj. Int J Biol Macromol. 2019 Jul 1;132:795-800.
Anderson JW, Nicolosi RJ, Borzelleca JF. Glukozaminaj efikoj ĉe homoj: recenzo pri efikoj sur glukoza metabolo, kromefikoj, sekurecaj konsideroj kaj efikeco. Food Chem Toxicol. 2005 Feb;43(2):187-201.
malgarantio
La informoj donitaj sur ĉi tiu paĝo estas nur por sciencaj kaj edukaj celoj. Kelkaj priskribitaj funkcioj baziĝas sur prepara esplorado kaj ne estis taksitaj de reguligaj aŭtoritatoj. Ĉi tiu produkto ne celas diagnozi, trakti, kuraci aŭ preventi ian ajn malsanon.







